Ta vare på feilsvar!

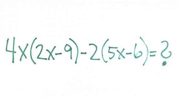
Her er en av oppgavene i filmen:
4x(2x – 9) – 2(5x – 6)
Prøv oppgaven (eller andre oppgaver) på elevene dine. Ta vare på feilsvar og få fram tenkingen som fører til feil. Alle elever lærer ved å se og å diskutere feilsvar og ufullstendige svar.
Elevene vet at det er mange som har samme misforståelse, det er ingen skam. Læreren må være tydelig på at det er verdifullt at en slik feil blir synlig slik at man kan ta den opp og arbeide med å avklare misforståelsen. Dette er et øyeblikk for god læring!
Du kan lese mer om god repetisjon og øving i artikkelen
Repetere og øve i matematikkundervisning: https://tinyurl.com/ybjxzw76
Her finner du også ideer og lenker til flere oppgaver.
Lykke til med jobben!